Blue Monday, cea mai deprimantă zi din an? Nici vorbă! Este un truc de PR pentru a vinde vacanţe
A treia zi de luni din ianuarie este considerată cea mai deprimantă zi din an şi a fost numită Blue Monday. Anul acesta, Blue Monday este pe 20 ianuarie şi, oricât de popular a devenit acest concept în ultimii ani, nu avem niciun motiv temeinic să credem că această zi va fi mai proastă decât altele sau că ne va afecta sănătatea psihică.

În 2005, psihologul Cliff Arnall din Marea Britanie a găsit o formulă pentru a identifica cea mai deprimantă zi din an. Astfel, acesta a ajuns la concluzia ca a treia zi de luni din ianuarie este cea în care nefericirea atinge cote maxime.
Pentru a ajunge la acest rezultat, a creat o adevărată formulă matematică, pentru care a luat în calcul mai mulţi factori: zilele scurse de la Crăciun, datoriile acumulate după cheltuielile de Sărbători, condiţiile meteorologice, încălcarea obiectivelor stabilite pentru noul an (începererea unei diete, renunţarea la fumat sau alcool etc.). Toţi aceşti factori cumulaţi conduc către cea mai deprimantă zi din an, potrivit lui Arnall. Însă această formulă nu are nicio bază ştiinţifică, după cum însuşi autorul ei a declarat peste ani de zile.
Cine a profitat?
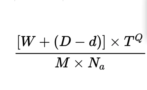
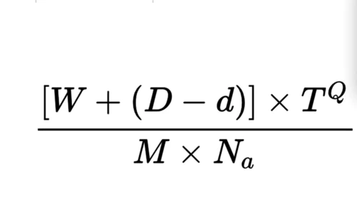
Cliff Arnall a venit cu această formulă la cererea unei agenţii de turrism din Marea Britanie. El a creat o ecuaţie matematică destul de complicată pentru a-şi susţine teoria: [W+(D-d)] x TQ/M x NA.


W (weather – n.r.) reprezintă vremea urâtă din ianuarie, D vine de la datoriile care se adună în sezonul de iarnă, d înseamnă salariul (unii angajaţi primesc în avans, în decembrie, salariul pe ianuarie, aşa că următorul salariu vine abia în februarie), T este timpul care a trecut de la Crăciun, iar Q este timpul scurs de când au fost stabilite rezoluţiile pentru noul an (începererea unei diete, renunţarea la fumat sau alcool etc.), de regulă suficient pentru ca acestea să fi fost deja încălcate. M este motivaţia săzută, iar NA e nevoia de a acţiona.

Agenţia Sky Travel, cea care a apelat la serviciile psihologului, a şi folosit termenul Blue Monday pentru pentru a-şi promova ofertele de iarnă şi a vinde vacanţe. Şi nu doar Sky Travel. Agenţiile de PR şi marketing au manipulat conceptul şi l-au folosit ca oportunitate de a vinde. Agenţiile au mizat pe această falsă nefericire şi depresie de Blue Monday şi pe faptul că oamenii deveneau mai vulnerabili la publicitate şi vânzări, tocmai din cauze acestei false stări care le fusese indusă.
Peste câţiva ani, psihologul a declarat că formula sa este pseudoştiinţă şi i-a îndemnat pe oameni să „respingă noţiunea de Blue Monday“.
FOTO Shutterstock
































